在深度学习中,我们“训练”模型,不断更新它们,使它们在看到越来越多的数据时变得越来越好。 通常情况下,变得更好意味着最小化一个损失函数(loss function), 即一个衡量“模型有多糟糕”这个问题的分数。 最终,我们真正关心的是生成一个模型,它能够在从未见过的数据上表现良好。 但“训练”模型只能将模型与我们实际能看到的数据相拟合。 因此,我们可以将拟合模型的任务分解为两个关键问题:

  • 优化(optimization):用模型拟合观测数据的过程;
  • 泛化(generalization):数学原理和实践者的智慧,能够指导我们生成出有效性超出用于训练的数据集本身的模型。

导数和微分

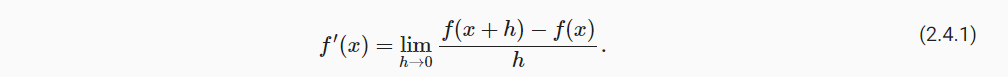
在深度学习中,我们通常选择对于模型参数可微的损失函数。 简而言之,对于每个参数, 如果我们把这个参数增加减少一个无穷小的量,可以知道损失会以多快的速度增加或减少,假设我们有一个函数f:R→R,其输入和输出都是标量。 如果f的导数存在,这个极限被定义为

1724549062760

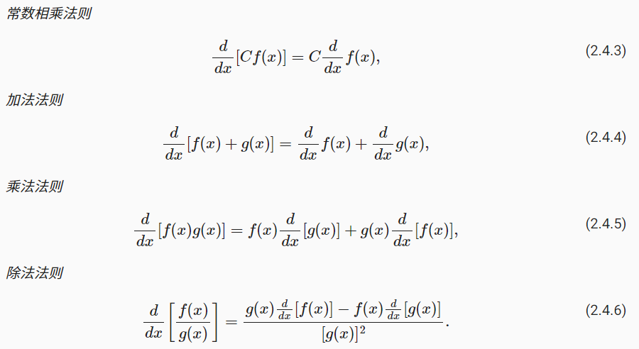
先回顾一下微积分的知识中常见的求微分规则:

1724543590466

以及一些求微分中常用的法则:

1724549248635

偏导数

将微分的思想推广到多元函数上:

1724549392562

梯度向量

我们可以连结一个多元函数对其所有变量的偏导数,以得到该函数的梯度(gradient)向量。 具体而言,设函数 f : Rn→R 的输入是 一个n维向量x=[x1,x2,…,xn]⊤,并且输出是一个标量。 函数f(x)相对于x的梯度是一个包含n个偏导数的向量:

1724549623298

假设x为n维向量,那么在微分多元函数时我们经常使用以下规则:

1724549692203

链式法则

但是上面的方法可能很难找到梯度,因为在深度学习中,多元函数通常是复合函数,而为了解决问题,我们一般会使用链式法则来微分复合函数。

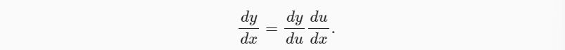
首先考虑单变量函数。假设有 y = f (u) 和 u = g (x) 这两个函数,且可微分,则:

1724549976454

而如果是考虑多变量函数。假设可微分函数 y 有变量 u1 , u2 , u3 , … , um ,而其中每个可微分函数 ui 都有变量 x1 , x2 , x3 , … , xn,且 y 是 x1 , x2 , x3 , … , xn 的函数。则对于任意 i = 1 , 2 , … , n,由链式法则可得出:

1724550177731

标量和向量的微分矩阵

然而神经网络的函数求导可能有几百层,所以我们一般要用自动求导。

自动微分

深度学习框架通过自动计算导数,即自动微分(automatic differentiation)来加快求导。 实际中,根据设计好的模型,系统会构建一个计算图(computational graph), 来跟踪计算是哪些数据通过哪些操作组合起来产生输出。 自动微分使系统能够随后反向传播梯度。 这里,反向传播(backpropagate)意味着跟踪整个计算图,填充关于每个参数的偏导数。 每个圈表示一个操作

1724544288707

在我们计算y关于x的梯度之前,需要一个地方来存储梯度。 重要的是,我们不会在每次对一个参数求导时都分配新的内存。 因为我们经常会成千上万次地更新相同的参数,每次都分配新的内存可能很快就会将内存耗尽。 注意,一个标量函数关于向量x的梯度是向量,并且与x具有相同的形状。

自动求导的两种模式:

1724544420082

反向累计

计算图示:

1724544478318

之所以更多选择的是反向累积,是因为:

1724544515808

实例代码演示(这里默认了使用pytorch):

1
2
3
4
5
6
import torch

x = torch.arange(4.0) # 首先创建向量x,并分配初始值 [0., 1., 2., 3.]
x.requires_grad_(True) # 等价于x=torch.arange(4.0,requires_grad=True)
x.grad # 默认值是None
y = 2 * torch.dot(x, x) #计算y (dot是点乘)

x是一个长度为4的向量,计算xx的点积,得到了我们赋值给y的标量输出。 接下来,通过调用反向传播函数自动计算y关于x每个分量的梯度,并打印这些梯度。

1
2
3
4
5
6
7
y.backward()
x.grad
#打印出来的结果为 tensor([ 0., 4., 8., 12.])
#而 y = 2 x·x 函数对于x的求导就应该是 y'(x)= 4x
#代入验证
x.grad == 4 * x
#打印结果显示 tensor([True, True, True, True])

就说明这个梯度向量计算出来是正确的。

现在计算x的另一个函数,但是注意,在默认情况下,PyTorch会累积梯度,我们需要清除之前的值。

1
2
3
4
5
x.grad.zero_() #清除梯度
y = x.sum()
y.backward()
x.grad
#打印出来的结果:tensor([1., 1., 1., 1.])

Q:如果没有清除梯度,会怎么样?

A:就会在原来的梯度向量的基础上累加本次计算得出的梯度向量,如下:

1724551675852